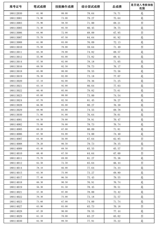
一、成绩公示
本次招聘护理岗位,均按照笔试成绩、技能操作成绩、综合面试成绩各占总成绩的40%、30%、30%计算总成绩,其中,技能操作成绩合格分数线为60分,综合面试成绩合格分数线为70分。
二、考核体检
根据考试总成绩,凡面试成绩、技能测试成绩合格的,按招聘计划由高分到低分依次等额进行考核、体检。
请进入考核体检范围人员于2018年2月23日上午8:30到青大附院市南院区学术报告厅(青岛市江苏路16号)。科室考核时间为2018年2月24日至3月23日。体检时间另行通知。
三、其他说明
1、请进入考核体检范围的同学申请加入OO群,群号码:689430945,方便与各位同学联系。请用自己的真实姓名申请入群,入群后请将群内名称改为自己的真实姓名。请于2018年1月26日12:00前完成入群。
2、不方便请假的同学,可将实习地点变更到我院实习,我院护理部工作人员会在QQ群内发布实习变更流程。
3、请各位同学提前安排好时间,食宿自理。
咨询电话:82911817、2286
















